Việt Chất - Giải pháp Chất!

Số 99 Thiên Lôi, Quận An Biên, Thành phố Hải Phòng

Công ty TNHH Thương mại Dịch vụ Việt Chất

0 Giỏ hàng
0 sản phẩm trong giỏ hàng
Giỏ hàng đang trống.

1 bao keo dán gạch dán được bao nhiêu m2?

1 bao keo dán gạch dán được bao nhiêu m2?

Ngày 02-10-2025 Lượt xem 142
1 bao keo dán gạch dán được bao nhiêu m2?

Việc tính toán 1 bao keo dán gạch dán được bao nhiêu m² là yếu tố quan trọng giúp chủ đầu tư và thợ thi công dự trù chính xác chi phí, tránh lãng phí vật liệu. Tùy vào kích thước gạch, độ dày lớp keo và khối lượng bao keo, diện tích thi công sẽ khác nhau.

Trong quá trình ốp lát gạch, một trong những câu hỏi thường gặp nhất là: “1 bao keo dán gạch dán được bao nhiêu m²?”. Đây là thông tin quan trọng giúp các chủ thầu, kiến trúc sư, và gia chủ tính toán được lượng vật tư cần thiết, tránh tình trạng thiếu hoặc dư thừa quá nhiều, gây tốn kém chi phí. Hãy cùng Việt Chất tìm hiểu chi tiết trong bài viết dưới đây.

1. Các yếu tố ảnh hưởng đến diện tích thi công của 1 bao keo dán gạch

Các yếu tố ảnh hưởng đến diện tích thi công của 1 bao keo dán gạch

Không có một con số cố định cho câu trả lời, bởi diện tích thi công được quyết định bởi nhiều yếu tố:

  • Kích thước gạch: Gạch càng lớn thì lượng keo tiêu hao càng nhiều. Ví dụ, gạch 30×30 cm tiêu thụ ít keo hơn gạch 60×60 cm hoặc 80×80 cm.
  • Độ phẳng của bề mặt: Nếu nền và tường bằng phẳng, lượng keo dùng sẽ ít hơn. Nền lồi lõm, không đều sẽ khiến keo phải dùng nhiều hơn để bù trám.
  • Độ dày lớp keo thi công: Thông thường, lớp keo được trải từ 3 mm – 10 mm. Lớp càng dày thì diện tích dán được từ 1 bao keo càng giảm.
  • Kỹ thuật thi công: Nếu thợ thi công đúng kỹ thuật, lượng keo sẽ được sử dụng tối ưu, tránh lãng phí.

2. 1 bao keo dán gạch dán được bao nhiêu m2?

Thông thường, keo dán gạch đóng bao có trọng lượng 20 kg hoặc 25 kg. Dựa trên độ dày trải keo, ta có thể ước lượng diện tích thi công như sau:

Độ dày lớp keo Diện tích phủ (bao 20kg) Diện tích phủ (bao 25kg)
3 mm 5,5 – 6,0 m² 6,8 – 7,5 m²
4 mm 4,5 – 5,0 m² 5,5 – 6,3 m²
5 mm 3,5 – 4,0 m² 4,5 – 5,0 m²
6 mm 3,0 – 3,5 m² 3,8 – 4,3 m²

Như vậy, với 1 bao 20kg, thông thường bạn có thể ốp lát được từ 3 – 6 m², còn 1 bao 25kg có thể phủ từ 4 – 7,5 m², tùy theo điều kiện thực tế.

3. Cách tính nhanh lượng keo cần dùng

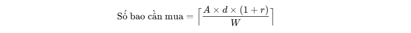
Công thức (ký hiệu):

Giải thích ký hiệu

  • A = Diện tích ốp lát (m²)

  • d = Định mức keo (kg/m²) — ví dụ 4.5 kg/m²

  • r = Tỷ lệ dự phòng (thường 0.05 — 0.10 tương ứng 5–10%)

  • W = Trọng lượng 1 bao keo (kg) — ví dụ 25 kg

  • ⌈⋅⌉ = làm tròn lên (ceil), vì phải mua nguyên bao

Ví dụ cụ thể

Ốp 40 m², định mức 4.5 kg/m², bao 25 kg, dự phòng 5%:

  1. Tổng khối lượng cần = 40×4.5=18040 \times 4.5 = 18040×4.5=180 kg

  2. Cộng dự phòng 5%: 180×1.05=189180 \times 1.05 = 189180×1.05=189 kg

  3. Số bao = 189/25=7.56⇒189 / 25 = 7.56 ⇒ làm tròn lên = 8 bao

4. Một số lưu ý khi sử dụng keo dán gạch

Một số lưu ý khi sử dụng keo dán gạch

  • Luôn đọc kỹ hướng dẫn của nhà sản xuất, vì mỗi loại keo có định mức khác nhau.
  • Nên tính thêm 5 – 10% lượng keo dự phòng, đề phòng hao hụt trong quá trình thi công.
  • Lựa chọn thương hiệu uy tín như Sika, Kingsmen, Hoàn Mỹ, Asia Star… để đảm bảo độ bám dính và tuổi thọ công trình.

5. Kết luận

Như vậy, 1 bao keo dán gạch có thể dán được từ 3 – 7,5 m², tùy theo độ dày trải keo, kích thước gạch và bề mặt nền. Để tính toán chính xác nhất, bạn nên tham khảo bảng định mức của nhà sản xuất hoặc liên hệ trực tiếp với đơn vị cung cấp.

6. Mua keo dán gạch ở đâu tại Hải Phòng

Mua keo dán gạch ở Hải Phòng tại Kho Việt Chất

Với nhiều năm kinh nghiệm trong lĩnh vực phân phối vật liệu xây dựng, Công ty TNHH Thương mại Dịch vụ Việt Chất đã trở thành địa chỉ tin cậy của nhiều đại lý và nhà thầu tại Hải Phòng.

Chúng tôi cam kết:

  • Sản phẩm chính hãng 100%, đầy đủ chứng từ chất lượng.

  • Giá cả cạnh tranh, chính sách chiết khấu hấp dẫn cho đại lý.

  • Hỗ trợ kỹ thuật tận tâm, tư vấn giải pháp thi công tối ưu.

  • Giao hàng nhanh chóng, đảm bảo tiến độ công trình.


Công ty TNHH Thương mại Dịch vụ Việt Chất là một đơn vị uy tín và đáng tin cậy trong lĩnh vực cung cấp vật liệu xây dựng tại Hải Phòng. Việt Chất tự hào là nhà phân phối Keo dán gạch tại Hải Phòng.

KHO VIỆT CHẤT – KHO CUNG ỨNG KEO DÁN GẠCH, KEO CHÍT MẠCH, SẢN PHẨM CHỐNG THẤM VÀ HÓA CHẤT XÂY DỰNG TẠI HẢI PHÒNG

Địa chỉ: Số 99 Thiên Lôi, Quận An Biên, Tp Hải Phòng

Email: hoadonvietchat@gmail.com

Hotline tư vấn: 0968.666.986

Đăng ký thông tin để nhận thông tin về sản phẩm và dịch vụ của Kho Việt Chất

Thương hiệu uy tín
Thương hiệu uy tín
Thương hiệu uy tín của
các công ty và tập đoàn
Tư vấn nhiệt tâm
Tư vấn nhiệt tâm
Tư vấn chính xác,
chuẩn chỉ, nhiệt tình
Giao hàng toàn quốc
Giao hàng toàn quốc
Giao hàng ngay trong
60 phút nội thành
Chính sách đổi trả
Chính sách đổi trả
Chế độ hậu mãi,
bảo hành dài lâu
Liên hệ Messenger Chat wiget Chat Zalo
Liên hệ
Hotline: 0935.387.278
wiget Chat Zalo Chát Zalo cùng chúng tôi
Messenger Chat Chát FB cùng chúng tôi
Instagram Instagram
Lên đầu trang
Whatsapp Chat